产品形貌
参数
罗红霉素胶囊说明书
请仔细阅读说明书并在医师指导下使用
【药品名称】
通用名称:罗红霉素胶囊
英文名称:Roxithromycin Capsules
汉语拼音:Luohongmeisu Jiaonang
【成份】
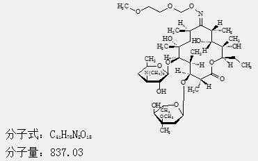
化学名称:9-{O-[(2-甲氧基乙氧基)-甲基]肟}红霉素
化学结构式:

【性状】
本品为胶囊剂,,,,,内容物为白色或类白色粉末和颗粒。。。。。。
【顺应症】
本品适用于化脓性链球菌引起的咽炎及扁桃体炎,,,,,敏感菌所致的鼻窦炎、中耳炎、急性支气管炎、慢性支气管炎急性爆发,,,,,肺炎支原体或肺炎衣原体所致的肺炎;;;;;沙眼衣原体引起的尿道炎和宫颈炎;;;;;敏感细菌引起的皮肤软组织熏染。。。。。。
【规格】
75mg
【用法用量】
空腹口服,,,,,一样平常疗程为5~12日。。。。。。
成人 一次150mg,,,,,一日2次;;;;;也可一次300mg,,,,,一日1次。。。。。。
儿童 一次按体重2.5~5mg/kg,,,,,一日2次。。。。。。
【不良反应】
主要不良反应为腹痛、腹泻、恶心、吐逆等胃肠道反应,,,,,但爆发率显着低于红霉素。。。。。。偶见皮疹、皮肤瘙痒、头昏、头痛、肝功效异常(ALT及 AST升高)、外周血细胞下降等。。。。。。
【禁忌】
对本品、红霉素或其他大环内酯类药物过敏者禁用。。。。。。
【注重事项】
1.肝功效不全者慎用。。。。。。严重肝硬化者的血消除半衰期(t1/2β)延伸至正常水平2倍
以上,,,,,如确实需要使用,,,,,则一次给药150mg,,,,,一日1次。。。。。。
2.轻度肾功效不全者不需作剂量调解,,,,,严重肾功效不全者给药时间延伸一倍(一次给药150mg,,,,,一日1次)。。。。。。
3.本品与红霉素保存交织耐药性。。。。。。
4.为获得较高血药浓度,,,,,本品需空腹(餐前1小时或餐后3~4小时)与水同服。。。。。。
5.用药时代按期随访肝功效。。。。。。
【孕妇及哺乳期妇女用药】
孕妇及哺乳期妇女慎用。。。。。。低于0.05%的给药量排入母乳,,,,,虽然有报道对婴儿的影响不大,,,,,但仍需思量是否中止授乳。。。。。。
【儿童用药】
未举行该项实验且无可靠参考文献。。。。。。
【晚年用药】
如晚年人的药动学无显着改变,,,,,不需调解剂量。。。。。。
【药物相互作用】
1.不可与麦角胺、二氢麦角胺、溴隐亭、特非那定、酮康唑及西沙必利配伍。。。。。。
2.对氨茶碱的代谢影响小,,,,,对卡马西平、华法林、雷尼替丁及其他制酸药基本无影响。。。。。。
【药物过量】
未举行该项实验且无可靠参考文献。。。。。。
【药理毒理】
本品为半合成的14元环大环内酯类抗生素。。。。。????咕子肟咕饔没旧嫌牒烀顾叵喾,,,,,对革兰阳性菌的作用较红霉素略差,,,,,对嗜肺军团菌的作用较红霉素强。。。。。。对肺炎衣原体、肺炎支原体、溶脲脲原体的抗微生物作用与红霉素相仿或略强。。。。。。
本品可透详尽菌细胞膜,,,,,在靠近供体(“P”位)与细菌核糖体的50S亚基成可逆性连系,,,,,阻断了转移核糖核酸(t-RNA)连系至“P”位上,,,,,同时也阻断了多肽链自受位(“A”位)至“P”位的转移,,,,,因而细菌卵白质合成受到抑制。。。。。。
【药代动力学】
口服吸收好,,,,,血药峰浓度(Cmax)高,,,,,单剂量口服罗红霉素150 mg后约2小时达血药峰浓度(Cmax)6.6~7.9 mg/L,,,,,进食可使生物使用度下降约一半。。。。。。漫衍广,,,,,扁桃体、鼻窦、中耳、肺、痰、前线腺及其他泌尿生殖道组织中的药物浓度均可达有用治疗水平。。。。。。其卵白连系率在血浓度2.5 mg/L时为96%。。。。。。以真相及5个代谢物从体内倾轧,,,,,7.4%自尿液倾轧。。。。。。血消除半衰期(t1/2β)为8.4~15.5小时。。。。。。
【贮藏】
遮光,,,,,密封,,,,,在干燥处生涯。。。。。。
【包装】
铝塑泡罩包装,,,,,12粒/板;;;;;纸盒包装,,,,,1板/盒。。。。。。
【有用期】
24个月
【执行标准】
《中国药典》2020年版 二部
【批准文号】
国药准字H10890050
【药品上市允许持有人】
名 称:bti体育
注册地点:沈阳市浑南新区新络街6号
【生产企业】
企业名称:bti体育
生产地点:沈阳市浑南新区新络街6号
邮政编码:110179
电话号码:(024)23786260 23786261
传真号码:(024)23786263
网 址:www.hongqipharma.com
扫二维码用手机看
上一个
乳酸依沙吖啶溶液50ml
下一个
硫酸庆大霉素碳酸鉍胶囊
相关产品
版权所有: bti体育 网站建设:中企动力 沈阳 辽icp备12005917号-1 辽网药信备字(2025)00076号
公司地点:沈阳市浑南区新络街6号 电话(总机):024-23786268-8012 传真:024-23786263